import pandas as pd
import numpy as np
from sklearn.decomposition import PCA
import matplotlib.pyplot as plt
sites = pd.read_csv('../Data/Pol_site.csv')
poll_surf = pd.read_csv('../Data/Pol_surf.csv')
poll_sq = poll_surf.apply(np.sqrt)PCA of the pollen data from Scandinavia
During last week’s exercise we classified a pollen surface sample dataset from Scandinavia. A PCA allows us to explore the actual composition of that dataset. Many text books will tell you that you should first standardize your data before computing a PCA. In fact whether or not you should do that depends on your data. Where the scales of the values of different observations are different a standardisation is necessary, but where all measurements are on the same scale standardization is often not desired. On the other hand, we learned last week, that pollen data are best transformed prior to any further analysis to improve the signal to noise ratio and we will thus start the data manipulation with a square root transformation.
Have a look at the original data that we work with. What are the dimension of the dataframe? How many taxa and samples are there?
Solution
The pollen surface sample dataframe has 408 row and 100 columns. The rows are the samples or sites and the columns the pollen taxa = variables or descriptors.
Running a PCA using scikit-learn starts with initializing a PCA object. The analysis on the data is only carried out using its ‘fit’ method.
poll_pca = PCA()
poll_pca.fit(poll_sq)PCA()In a Jupyter environment, please rerun this cell to show the HTML representation or trust the notebook.
On GitHub, the HTML representation is unable to render, please try loading this page with nbviewer.org.
Parameters
Let us extract the data that was produced.
poll_scor = poll_pca.transform(poll_sq)
poll_comp = poll_pca.components_What are these two matrices? You may guess when you compare their dimension to the dimension of the original data?
Solution
The matrix ‘poll_scor’ has the dimensions of 408 by 100, which is equal to the dimension of the original data. A PCA produces as many principal components as variables in the original data. Thus this matrix contains the samples scores for each of the principal components (columns). The second matrix ‘poll_comp’ has the dimension of 100 by 100. When doing the PCA in steps this was the eigenvector matrix. Remember this output is transposed of the way the table is normally presented. Thus, here are the variable (taxa) scores for each variable (column) for each principal component (row).
Start plotting the sample scores for the first two principal components:
fig , ax = plt.subplots(1, 1, figsize=(8, 8))
ax.scatter(poll_scor[:,0], poll_scor[:,1])
ax.set_xlabel('PC 1')
ax.set_ylabel('PC 2')Text(0, 0.5, 'PC 2')

The second matrix holds the loadings, which describe how much each variable contributes to a particular principal component. These loadings are usually visualized as vectors together with the sample scores in a biplot. Can we just plot them into the same figure?
fig , ax = plt.subplots(1, 1, figsize=(8, 8))
ax.scatter(poll_scor[:,0], poll_scor[:,1])
ax.set_xlabel('PC 1')
ax.set_ylabel('PC 2')
for k in range(poll_comp.shape[1]):
ax.arrow(0, 0, poll_comp[0,k], poll_comp[1,k], head_width = 0.05, head_length = 0.1)
ax.text(poll_comp[0,k],poll_comp[1,k],poll_sq.columns[k])
Well …this works but we cannot see anything. So let us first look at the loadings (species scores) alone.
fig , ax = plt.subplots(1, 1, figsize=(8, 8))
for k in range(poll_comp.shape[1]):
ax.arrow(0, 0, poll_comp[0,k], poll_comp[1,k], head_width = 0.02, head_length = 0.05)
ax.text(poll_comp[0,k],poll_comp[1,k],poll_sq.columns[k])
We already realized that the scales of these two entities are different and one (samples) or the other (species) or both have to be rescaled (note this is not the scaling 1 / 2, but only an aid to visualize the results). Now we also see that we are not able to see the vectors for the 100 pollen taxa of the original dataset. Since we did not standardize the data before the PCA, species with a low variance and low absolute values will have tiny loadings near the centre of the coordinate system. When interpreting a biplot these species will not be informative so it will be best not to plot their vector. We can look at the variance of the square root transformed data to select only pollen taxa with a high variance.
var = poll_sq.var(axis = 0)
var.plot(ylim=(0, 1))
Finding an adequate threshold for selection is a question of making the final graph readable without omitting too much information. Let us here decide on a threshold of 0.2. Thus we use the criterion that the variance needs to exceed 0.2 producing an index of True and False. From the Boolean list we get the index for the variables ‘True’.
index = poll_sq.var(axis = 0)>0.2
select = [i for i, val in enumerate(index) if val]The resulting list of selected pollen taxa can be used in the plotting of the vectors. Thus our selection only affects the plot but not the analysis. We also learned that we need to scale one or both of the components in order to make the plot more readable. Thus we introduce a scale factor for the vectors.
scale_arrow = s_ = 10
fig , ax = plt.subplots(1, 1, figsize=(8, 8))
ax.scatter(poll_scor[:,0], poll_scor[:,1])
ax.set_xlabel('PC 1')
ax.set_ylabel('PC 2')
for k in select:
ax.arrow(0, 0, s_*poll_comp[0,k], s_*poll_comp[1,k], head_width = 0.05, head_length = 0.1)
ax.text(s_*poll_comp[0,k],s_ * poll_comp[1,k],poll_sq.columns[k])
plt.show() 
Before we go on let us look at the biplot and interpret it.
Add the circle of equilibrium descriptor contribution to the plot. Was the threshold for plotting the descriptor vectors well chosen?
Solution
import math
a=math.sqrt(2/100)
fig , ax = plt.subplots(1, 1, figsize=(8, 8))
ax.set(ylim=(-8, 8), xlim=(-8, 8))
ax.set_aspect('equal', adjustable='box')
ax.scatter(poll_scor[:,0], poll_scor[:,1])
ax.set_xlabel('PC 1')
ax.set_ylabel('PC 2')
for k in select:
ax.arrow(0, 0, s_*poll_comp[0,k], s_*poll_comp[1,k], head_width = 0.05, head_length = 0.1)
ax.text(s_*poll_comp[0,k],s_ * poll_comp[1,k],poll_sq.columns[k])
circle1 = plt.Circle((0, 0), a*s_, color='r', fill=False)
ax.add_patch(circle1)
plt.show() 
Yes, the taxon with the shortest arrow, ’Gymnocar’just exeeds the circle of equilibrium descriptor contribution.
Which pollen taxa hold the largest variance of the dataset that is captured by the first and second principal axis?
Solution
The vectors for Pinus and Dryopteris-type type are parallel to the PC 1 and thus describe the largest gradient in the samples. Alnus and Betula are the dominating taxa on PC 2 pointing in opposing directions.
Which pollen taxa are highly correlated? You can answer this judging the above biplot. However, remember that scaling 2 is better suited for that. Can you scale and plot the vectors for the selected taxa. Hint: during scaling you transpose the matrix.
Solution
v_load_s = poll_comp.T * np.sqrt(poll_pca.explained_variance_)
fig , ax = plt.subplots(1, 1, figsize=(8, 8))
ax.set(ylim=(-1.5, 1.8), xlim=(-1.5, 1.8))
ax.set_aspect('equal', adjustable='box')
#ax.scatter(scores[:,0], scores[:,1])
ax.set_xlabel('PC 1')
ax.set_ylabel('PC 2')
for k in select:
ax.arrow(0, 0, v_load_s[k,0], v_load_s[k,1], head_width = 0.05, head_length = 0.05)
ax.text(v_load_s[k,0],v_load_s[k,1],poll_sq.columns[k])
plt.show() 
The vectors for Quercus (Dutch = eik) and Corylus (Dutch = hazelaar) point in the same directions with a small angle between them. Both plants only occur in warmer locations in Scandinavia and thus really occur together. At closer investigations also Urtica (brandnetel) with a shorter vector sits between Quercus and Alnus (els). Also the vectors for Graminea (gras) and Calluna (heide) are placed at a low angle. Here high values of both taxa are found in open areas and thus also this correlation is easily explained. The negative correlation between Pinus (den) and Dryopteris-type = ferns (varens) is explained by ferns dominating in super wet places near the coast or at the tree-line where even pines are not abundant.
Which pollen taxa are not at all correlated in the data?
Solution
Vectors that are situated at 90°to each other are not correlated and an example of this are Alnus and Pinus.
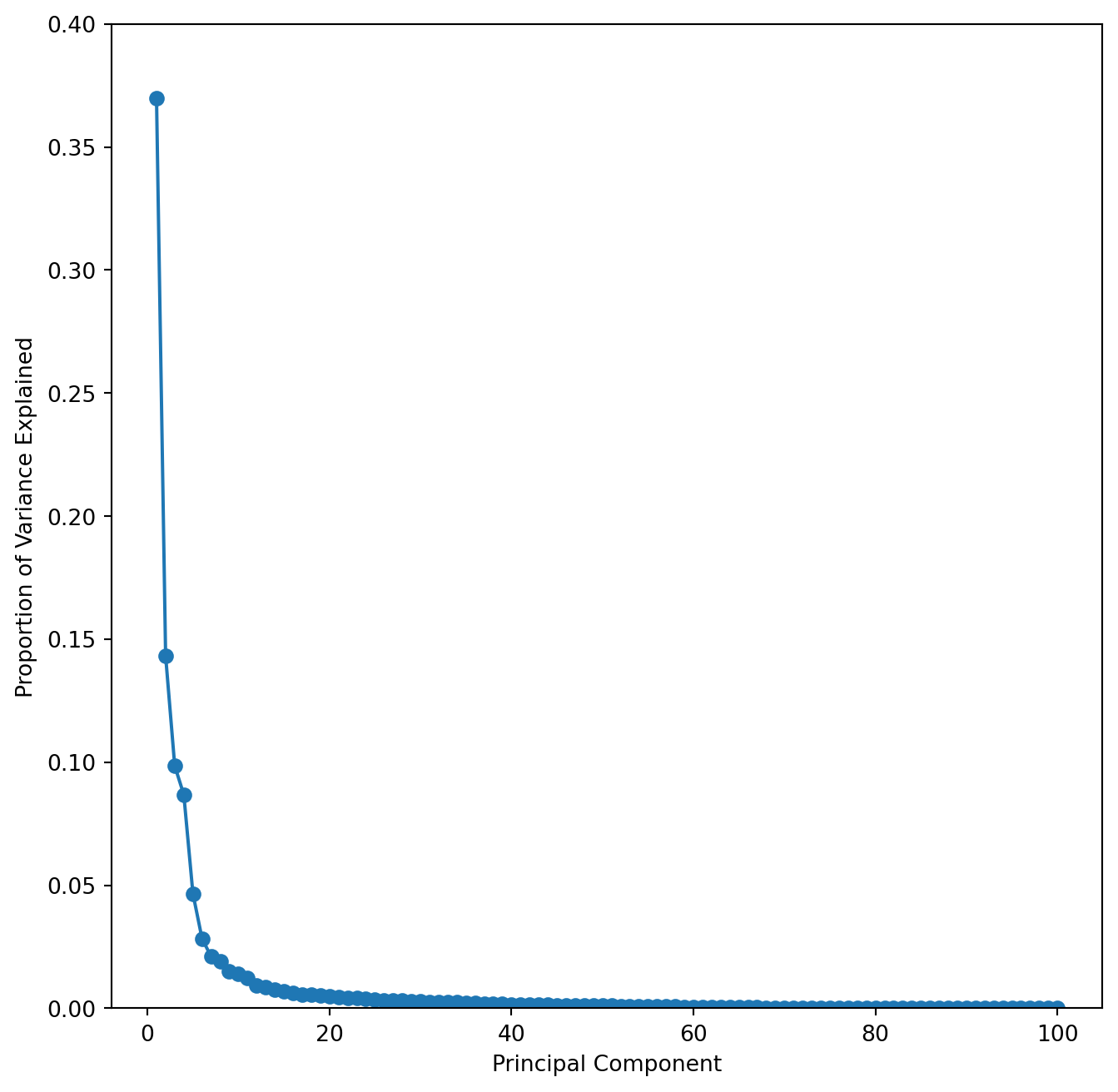
Now we like to know how much of the variance is actually explained by the first two PC axis and how many of the PC axis we should look at.
The answer to the first question is easily extracted:
poll_pca.explained_variance_ratio_[0:10] # Here we only look at the first 10 PCsarray([0.36990526, 0.14321587, 0.09855086, 0.08679366, 0.04661818,
0.02839027, 0.02099509, 0.01898521, 0.01503161, 0.01404976])
As with last week’s question on the number of clusters there is also no clear cut answer on the number of PC that may be relevant, but also here a scree plot provides some information.
fig , ax = plt.subplots(1, 1, figsize=(8, 8))
ticks = range(1, 101)
ax.plot(ticks, poll_pca.explained_variance_ratio_, marker='o')
ax.set_xlabel('Principal Component');
ax.set_ylabel('Proportion of Variance Explained')
ax.set_ylim([0,0.4])
This scree plot nicely shows that the first few PC capture most of the variance.
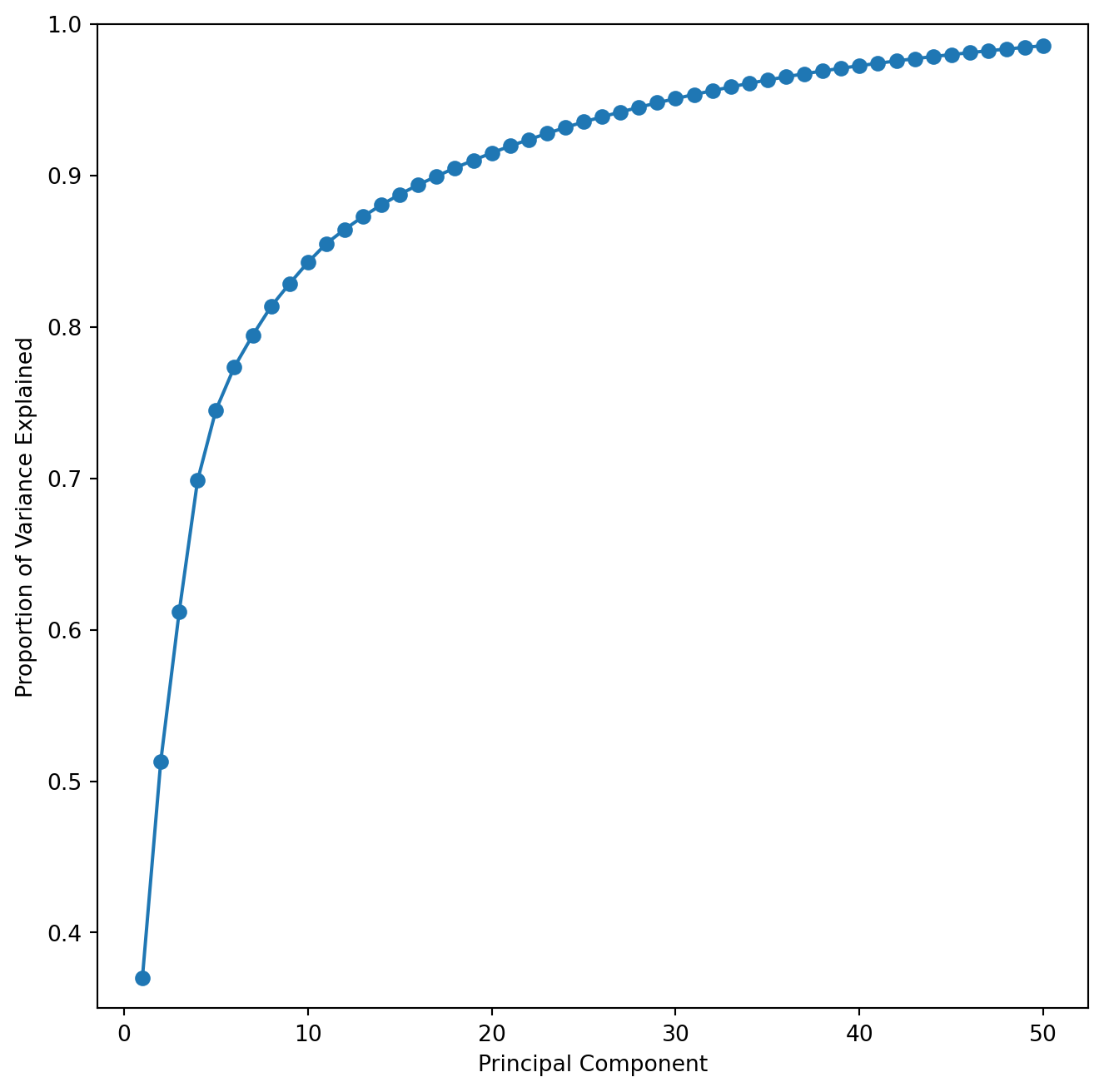
To get a better look at this and also to estimate the position of the elbow it is useful to plot the cumulative variance explained for the first 50 PC’s. You can modify the above code, but may want to set the y-axis limits to 0.35 and 1.
Solution
fig , ax = plt.subplots(1, 1, figsize=(8, 8))
ticks = range(1, 51)
ax.plot(ticks, poll_pca.explained_variance_ratio_[0:50].cumsum(), marker='o')
ax.set_xlabel('Principal Component');
ax.set_ylabel('Proportion of Variance Explained')
ax.set_ylim([0.35,1])
Also in this representation it becomes clear the PC’s 3 and 4 are worth looking at, and only the first 4 components combined capture 70% of the overall variance. This large residual variance even after component 5 indicates lots of noise in the data, perhaps due to the fact that pollen may be transported long distances.
Finding the elbow is somewhat subjective, but we can agree that the first 4 components would certainly be worthwhile looking at. Using the broken stick model (available in R) suggests that the first 5 components reduce the variance more than a random process and should therefore be considered. 
Finally we can also consult the Kaiser-Guttman criterion suggesting to only consider those principal components whose variances exceed 1.
# Calculate the number of principal components with variances greater than 1
kaiser_rule = np.where(poll_pca.explained_variance_ > 1)[0]
print(kaiser_rule)[0 1 2 3]
With also Kaiser suggesting to look at more than the first two components - we should do that. Modifying the above script by introducing indices for the component to plot (i, j) we can easily explore components 1 to 5.
i, j = 0, 1 # which components
scale_arrow = s_ = 10
fig , ax = plt.subplots(1, 1, figsize=(8, 8))
ax.scatter(poll_scor[:,i], poll_scor[:,j])
ax.set_xlabel('PC%d' % (i+1))
ax.set_ylabel('PC%d' % (j+1))
for k in select:
ax.arrow(0, 0, s_*poll_comp[i,k], s_*poll_comp[j,k], head_width = 0.05, head_length = 0.1)
ax.text(s_*poll_comp[i,k],s_ * poll_comp[j,k],poll_sq.columns[k]) 
Which pollen taxa characterize the principal component 5?
Solution
Juniperus (jeneverbes) and Picea (spar) have long positive vectors along PC-Axis 5. Alnus (els) has a negative association with PC 5.
Combining PCA and cluster analysis
Working with the same data last week we created a cluster analysis of the data. Now we want to see where these clusters are falling in the PCA space. So let us repeat the cluster analysis from last week using my preferred clustering with ward linkage using the Euclidean distance after square-root transformation:
import scipy.spatial.distance as distance
from scipy.cluster.hierarchy import linkage
from scipy import cluster
poll_sq = poll_surf.apply(np.sqrt)
d = distance.pdist(poll_sq,'euclidean')
Z = linkage(d,'ward')
poll_class = cluster.hierarchy.cut_tree(Z, n_clusters=3) We obtain our class assignments in the in the object “poll_class” which we can use in the PCA plot to identify the samples by colour.
i, j = 0, 1 # which components
scale_arrow = s_ = 10
fig , ax = plt.subplots(1, 1, figsize=(8, 8))
scatter = ax.scatter(poll_scor[:,i], poll_scor[:,j], c = poll_class)
legend1 = ax.legend(*scatter.legend_elements(),
loc="lower right", title="Class")
ax.set_xlabel('PC%d' % (i+1))
ax.set_ylabel('PC%d' % (j+1))
for k in select:
ax.arrow(0, 0, s_*poll_comp[i,k], s_*poll_comp[j,k], head_width = 0.05, head_length = 0.1)
ax.text(s_*poll_comp[i,k],s_ * poll_comp[j,k],poll_sq.columns[k])
plt.show() 
Make a new map like last week and compare the clusters in the PCA with the clusters on the map. Where is cluster 1 located and which two pollen types characterize the samples?
Solution
import geopandas
import geodatasets
world = geopandas.read_file(geodatasets.get_path("naturalearth.land"))
loc = sites.loc[:, ("latitude", "longitude", "Tjuly")]
geometry = geopandas.points_from_xy(loc.longitude, loc.latitude)
geo_loc = geopandas.GeoDataFrame(
loc[["latitude", "longitude", "Tjuly"]], geometry=geometry)
geo_loc["PollClass"] = poll_class
fig, ax = plt.subplots(figsize=(10, 6))
world.plot(ax=ax, alpha=0.4, color="grey")
geo_loc.plot(column="PollClass", ax=ax, legend=True, categorical=True, markersize=50)
plt.title("Vegetation Classification")
ax.set_xlim(4, 32)
ax.set_ylim(55, 72) Downloading file 'ne_110m_land.zip' from 'https://naciscdn.org/naturalearth/110m/physical/ne_110m_land.zip' to '/home/runner/.cache/geodatasets'.

Samples assigned to cluster 1 are located in northernmost Fennoscandia as well as in the Scandinavian mountains. Samples are characterized by Betula (berk) which is forming the northern as well as in many places the altitudinal tree-line. Cyperaceae (cypergrassenfamilie) pollen also indicates open vegetation types found near and beyond the forest limit.
Multi-dimensional scaling
Metric multi-dimensional scaling is available from ‘scikit-learn’ which also claims to do the non-metric variant. However, testing it only yielded interpretable results for metric scaling so we will have a quick look at what that does. It is not an eigenvector method and we can use it with pre-computed dissimilarities. Thus we go back to the SciPy package where we had a good choice of dissimilarities to see how they may influence the ordination of samples.
from sklearn import manifold
import scipy.spatial.distance as distance
poll_d = distance.pdist(poll_sq,'braycurtis')
poll_ds = distance.squareform(poll_d)
mds = manifold.MDS(
n_components=2,
max_iter=3000,
eps=1e-12,
dissimilarity='precomputed',
metric=True
)
p_mds = mds.fit_transform(poll_ds)
fig , ax = plt.subplots(1, 1, figsize=(8, 8))
scatter = ax.scatter(p_mds[:,0], p_mds[:,1], c = poll_class)
legend1 = ax.legend(*scatter.legend_elements(),
loc="lower right", title="Class")
plt.xlabel('MDS1')
plt.ylabel('MDS2')
plt.title("Bray–Curtis dissimilarity")
plt.show()/home/runner/.local/lib/python3.12/site-packages/sklearn/manifold/_mds.py:744: FutureWarning: The default value of `n_init` will change from 4 to 1 in 1.9. To suppress this warning, provide some value of `n_init`.
warnings.warn(
/home/runner/.local/lib/python3.12/site-packages/sklearn/manifold/_mds.py:754: FutureWarning: The default value of `init` will change from 'random' to 'classical_mds' in 1.10. To suppress this warning, provide some value of `init`.
warnings.warn(
/home/runner/.local/lib/python3.12/site-packages/sklearn/manifold/_mds.py:771: FutureWarning: The `dissimilarity` parameter is deprecated and will be removed in 1.10. Use `metric` instead.
warnings.warn(
/home/runner/.local/lib/python3.12/site-packages/sklearn/manifold/_mds.py:779: FutureWarning: Use metric_mds=True instead of metric=True. The support for metric={True/False} will be dropped in 1.10.
warnings.warn(

Try out the effect of different distances with the aim to find one that separates the predefined groups better than the PCA. Create alt least two plots with different distances.
Solution
Here there is no right or wrong solution. just make sure you change the distance ‘braycurtis’ in the above code to one you find on https://docs.scipy.org/doc/scipy/reference/generated/scipy.spatial.distance.pdist.html#scipy.spatial.distance.pdist. Also make sure you change the title indicating which distance was used.
Using PCA to compare trends
We got two datasets obtained from the same samples of a 26 m long sediment core: pollen proportions and geochemical analysis results.
Tchem = pd.read_csv('../Data/Trep_geoChem.csv')
Tpoll = pd.read_csv('../Data/Trep_pol.csv')Have a look at the data. Information on the sample depth is in Tchem:
depth = Tchem["depth"]Tchem also contains the variable ‘water content’, which together with depth we don’t want to use in any analysis. Thus we need to extract the variables that are meaningful.
Tchem_s = Tchem[["Fe","Ca","Al","Mg","Mn","P","org"]]You want to compare the trends in both datasets: Asking the question if changes in the lake catchment recorded by the pollen composition may have lead to changes in the lake itself recorded by the sediment chemistry? Both datasets are multivariate thus the best way to compare them is to reduce the dimensions and only compare the first principal axes scores for the samples. Don’t forget that one or the other dataset needs standardisation or transformation prior to PCA. Please also report how much variance is explained by the respective first PC.
Solution
Tpoll_sq = Tpoll.apply(np.sqrt)
from sklearn.preprocessing import StandardScaler
scaler = StandardScaler()
Tch_s = scaler.fit_transform(Tchem_s)
pca = PCA()
pca.fit(Tpoll_sq)
poll_scor = pca.transform(Tpoll_sq)
pca.fit(Tch_s)
chem_scor = pca.transform(Tch_s)
plt.figure()
plt.subplot(1,2,1)
plt.plot(poll_scor[:,1], depth)
plt.gca().invert_yaxis()
plt.axhline(y=500, c= 'r' )
plt.xlabel('Pollen PC1')
plt.ylabel('Depth in cm')
plt.subplot(1,2,2)
plt.plot(chem_scor[:,1], depth)
plt.gca().invert_yaxis()
plt.yticks(color='w')
plt.xlabel('Geochemistry PC1')
plt.axhline(y=500, c= 'r' )
plt.show()
Yes, you should square root transform the pollen data while the geochemistry data needs to be standardized prior to PCA analysis. The first PC of the pollen data explains 43% of the variance, while it explains 49% of the variance in the geochemestry data. Particularly at around 500 cm depth the pollen composition indicate a strong change in the catchment vegetation which is shortly after affecting the lake as documented in the geochemistry data.